राष्ट्रीय रेडियो खगोलभौतिकी केंद्र

NATIONAL CENTRE FOR RADIO ASTROPHYSICS

Tata Institute of Fundamental Research, Pune

ncra, NCRA-TIFR pune
Science Highlights


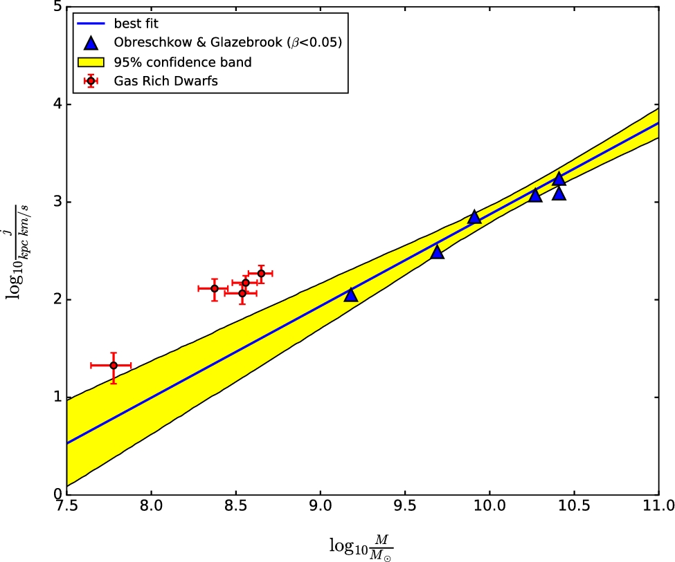
The angular momentum content of gas-rich dwarf galaxies

A galaxy s spin is intricately connected to its morphology --- spiral galaxies spin faster and hence are thinner whereas elliptical galaxies have lower specific angular momentum and are puffier. The mass and the angular momentum of a galaxy are related via their evolutionary history. Various researchers in the past have reported a power-law scaling relation between the mass and the specific angular momentum of large spiral galaxies. Chowdhury and Chengalur used archival GMRT, VLA and WSRT HI 21cm data of five gas-rich dwarf galaxies and found that the specific angular momentum in these smaller, less massive, dwarf galaxies is significantly higher than that expected from the earlier studies of spiral disks. The figure shows the location of these dwarf galaxies in the specific angular momentum - mass plane, and compares them with the distribution of spiral galaxies. All the five gas-rich dwarf galaxies lie outside the 95% probability band of the relation for spiral galaxies. The chance probability that the dwarf galaxies belong to the same angular momentum - mass distribution as the spirals is less than one part in a million. The authors suggest two mechanisms through which the dwarfs may acquire their higher specific angular momentum: (i) preferential outflow of low angular momentum gas due to stellar feedback, and (ii) cosmic cold mode accretion, which is known to dominate in less massive galaxies.


Result Image


A fourth radio arc in Abell 2626

The supermassive black holes at the centres of active galaxies can lead to the formation of spectacular jets that are detectable in deep radio imaging studies. When such black holes are situated close to the centres of galaxy clusters, they experience a dense environment. The radio jets can be affected by the black hole itself and by the environment, leading to complex morphologies. A system of three concave arcs was earlier known towards the galaxy cluster Abell 2626. Kale & Gitti used the 610 MHz receivers of the GMRT to discover a fourth arc in the sytem, that completes an intriguing symmetric structure of four arcs around the central massive galaxy that itself has two active nuclei. The origin of the exotic source is as yet unknown, but may be a rare event of precessing jets from the double nuclei of the central galaxy or a similarly rare configuration of a gravitational lens. The image shows the GMRT radio image in blue, overlaid on X-ray (red) and optical (green) images.


Result Image


Stringent constraints on fundamental constant evolution over 3 billion years

Kanekar, Ghosh and Chengalur used the mighty Arecibo Telescope to carry out one of its deepest-ever observing runs, 125 hours on the hydroxyl (OH) lines from a gas cloud close to the z=0.247 active galactic nucleus PKS1413+135. The satellite OH lines, at rest frequencies of 1720 MHz and 1612 MHz, are "recentResults"conjugate in this system, mirror images of each other, with the 1720 MHz line in emission and the 1612 MHz line in absorption. Since the 1720 and 1612 MHz line frequencies have different dependences on the fine structure constant, alpha, and the ratio of the proton mass to the electron mass, mu, this expected perfect cancellation makes the two lines ideal to probe changes in alpha and mu out to z~0.247, i.e. a lookback time of nearly 3 billion years. If alpha and/or mu change with time, the lines would shift relative to each other, and would not cancel out. Kanekar et al. found that the OH satellite line remain conjugate within the measurement errors, with no evidence for a shift between the two lines. They used this perfect cancellation to place stringent constraints on changes in alpha and mu with cosmological time, limiting fractional changes in the two quantities to less than a few parts in a million. This is the most sensitive constraint on fractional changes in alpha in the literature, and with no known systematic effects. The top two panels of the figure show the two OH satellite lines from PKS1413+135 at z=0.247, with the 1720 MHz in the upper panel and the 1612 MHz line in the middle panel. The bottom panel shows the sum of the two line optical depths. It is clear that this is consistent with Gaussian noise, as expected if the lines are mirror images of each other.


Result Image


A Giant Radio Galaxy at z ~ 0.57

Giant radio galaxies (GRGs) are radio galaxies whose linear extent is more than 1 Mpc. Most of the known GRGs are less than a billion light years away from us. The sharp decline in the number of GRGs at larger distances, i.e. higher redshifts, is a mystery because the number of normal radio sources is actually higher at high redshifts. We recently used the GMRT to carry out a deep 150 MHz study of a small region of the sky in the Lynx constellation, and discovered a large GRG, of size 7 million light years, at a distance of about 5 billion light years, i.e. a redshift of 0.57. We used the GMRT to carry out detailed imaging studies of the GRG, at 325 MHz, 610 MHz and 1420 MHz; the new data suggest that the object is probably a double-double radio galaxy. Further, the radio core of the galaxy shows an unusually steep spectrum, which may imply that there is yet another unresolved pair of lobes within the core, making this GRG a candidate triple-double radio galaxy. Further investigations of the central region of the GRG, to test if it is a re-started radio source, are now under way using the European Very Long Baseline Interferometry Network (EVN), which has the resolution to probe the central region very close to the supermassive black hole. The figure shows the GMRT 610 MHz image of the new GRG, overlaid on the optical SDSS gri-composite image. The optical host galaxy is shown separately in the rectangular box. The double-lobe structure on either side of the central core is clearly visible.


Result Image


The gas and stellar mass of low-redshift damped Lyman-alpha absorbers

Kanekar et al. report Hubble Space Telescope Cosmic Origins Spectrograph far-ultraviolet and Arecibo Telescope HI 21cm spectroscopy of six damped and sub-damped Lyman-alpha absorbers (DLAs and sub-DLAs, respectively) at z<~0.1, which have yielded estimates of their HI column density, metallicity and atomic gas mass. This significantly increases the number of DLAs with gas mass estimates, allowing the first comparison between the gas masses of DLAs and local galaxies. Including three absorbers from the literature, they obtain HI masses ~(0.24-5.2) billion solar masses, lower than the knee of the local HI mass function. This implies that massive galaxies do not dominate the absorption cross-section for low-z DLAs. Kanekar et al. use Sloan Digital Sky Survey photometry and spectroscopy to identify the likely hosts of four absorbers, obtaining low stellar masses, ~(0.01-0.3) billion solar masses in all cases, consistent with the hosts being dwarf galaxies. They obtain high HI 21cm or CO emission line widths, ~ 100-290 km/s, and high gas fractions, ~5-100, suggesting that the absorber hosts are gas-rich galaxies with low star formation efficiencies. However, the HI 21cm velocity spreads (>~ 100 km/s) appear systematically larger than the velocity spreads in typical dwarf galaxies. The figure shows the Arecibo HI 21cm spectra for the six galaxies of the paper.


Result Image


The Gas Mass of Star-forming Galaxies at z~1.3

Kanekar et al. used the GMRT 610 MHz receivers to carry out a search for HI 21cm emission from a large sample of massive star-forming galaxies at z~1.18-1.34, lying in sub-fields of the DEEP2 Redshift Survey. The search was carried out by co-adding ("recentResults"stacking ) the HI 21cm emission spectra of 857 galaxies, after shifting each galaxy’s HI 21cm spectrum to its rest frame. The non-detection of a signal in the stacked HI 21cm spectrum yielded a stringent upper limit of 2.5 microJy on the average HI 21cm flux density of the 857 galaxies, at a velocity resolution of 315 km/s. This implies an upper limit of 20 billion solar masses on the average HI mass of the 857 galaxies, the first direct constraint on the atomic gas mass of galaxies at z>0.5. The upper limit to the ratio of the atomic gas mass to the stellar mass, i.e. the gas fraction, is 0.5, comparable to the cold molecular gas fraction in similar galaxies at these redshifts. Kanekar et al. find that the cosmological mass density of neutral atomic gas in massive star-forming galaxies at z~1.3 is significantly lower than the mass density estimates in both galaxies in the local Universe and damped Lyman-alpha absorbers at z>2. This implies that massive blue star-forming galaxies do not dominate the neutral atomic gas content of the Universe at z~1.3. The figure shows the cosmological mass density in neutral gas plotted as a function of redshift. The open star shows the new GMRT result, for blue star-forming galaxies at z~1.3. See the paper for more details.


Result Image


Discovery of Gamma-ray pulsations from the transitional redback PSR J1227-4853

Post-discovery timing studies with the GMRT of the 3rd transitional millisecond pulsar, J1227-4853, have resulted in detection of gamma-ray pulsations after the transition, using data from the Large Area Telescope (LAT) on board the Fermi Gamma-ray Space Telescope. The gamma-ray light curve of PSR J1227-4853 can be fitted by one broad peak, which occurs at nearly the same phase as the main peak in the 1.4 GHz radio profile. The partial alignment of light-curve peaks in different wavebands suggests that at least some of the radio emission may originate at high altitudes in the pulsar magnetosphere, in extended regions co-located with the gamma-ray emission site. Analysis of the gamma-ray flux over the mission suggests an approximate transition time of 2012 November 30. Continued study of the pulsed emission and monitoring of PSR J1227-4853, and other known redback systems, for subsequent flux changes will increase our knowledge of the pulsar emission mechanism and transitioning systems. The figure shows the phase-aligned gamma-ray (black line) and 1.4 GHz radio (red line with Parkes) light curves of PSR J1227−4853, with two rotations shown for clarity. The low-level peak at phase ∼0.5 in the radio light curve is an inter-pulse, which becomes dominant at lower frequencies.


Result Image


Discovery of PSR J1227-4853: Transitioning from Low-mass X-Ray Binary to Redback Millisecond Pulsar

Low-mass X-ray binaries (LMXB s) and radio millisecond pulsars (MSP s) are linked through stellar and binary evolution, where MSP s are the end products of an episode of accretion of matter and angular momentum from the binary companion during the LMXB state. Over the last decade, the discovery of three transitional millisecond pulsars (tMSP s) has allowed a detailed study of the recycling process. Recent studies of PSR J1824−2452I and PSR J1023+0038 have observationally demonstrated the LMXB – MSP evolutionary link. These systems show direct evidence of back-and-forth state switching between radio MSP and accreting X-ray millisecond pulsar regimes and opened a new avenue of research in pulsar astrophysics. The third such tMSP system, J1227-4853, was discovered by us using the GMRT. PSR J1227-4853 is a 1.69 millisecond pulsar at a dispersion measure of 43.4 pc/cm^3. It transited into the active radio-MSP phase associated with a sudden drop of its X-ray and optical luminosity in 2012 December. Extreme orbital perturbations as well as the signature of proper motion are revealed from our GMRT timing campaign. This pulsar, an "recentResults"eclipsing redback , is the only transitioning system currently in an active rotation-powered state. Simultaneous imaging and timing observations with the GMRT were used to directly show that eclipses are caused by absorption rather than dispersion smearing or scattering. A long-term timing study of PSR J1227-4853 is currently under way, which will help to determine whether these transitional systems will eventually be canonical radio MSP s or whether they form a new sub-class of MSP s that continue to transition between the two states. Also, such studies will result in better understanding of the spin evolution of the systems and the dynamics of accretion during the accretion-powered, propeller stage and the rotation-powered stage. The figure shows the pulsar search output for PSR J1227-4853 showing rapid evolution of period and period-derivative in a compact binary system.


Result Image


Discovery of PSR J1227-4853: Transitioning from Low-mass X-Ray Binary to Redback Millisecond Pulsar

Low-mass X-ray binaries (LMXB s) and radio millisecond pulsars (MSP s) are linked through stellar and binary evolution, where MSP s are the end products of an episode of accretion of matter and angular momentum from the binary companion during the LMXB state. Over the last decade, the discovery of three transitional millisecond pulsars (tMSP s) has allowed a detailed study of the recycling process. Recent studies of PSR J1824−2452I and PSR J1023+0038 have observationally demonstrated the LMXB – MSP evolutionary link. These systems show direct evidence of back-and-forth state switching between radio MSP and accreting X-ray millisecond pulsar regimes and opened a new avenue of research in pulsar astrophysics. The third such tMSP system, J1227-4853, was discovered by us using the GMRT. PSR J1227-4853 is a 1.69 millisecond pulsar at a dispersion measure of 43.4 pc/cm^3. It transited into the active radio-MSP phase associated with a sudden drop of its X-ray and optical luminosity in 2012 December. Extreme orbital perturbations as well as the signature of proper motion are revealed from our GMRT timing campaign. This pulsar, an "recentResults"eclipsing redback , is the only transitioning system currently in an active rotation-powered state. Simultaneous imaging and timing observations with the GMRT were used to directly show that eclipses are caused by absorption rather than dispersion smearing or scattering. A long-term timing study of PSR J1227-4853 is currently under way, which will help to determine whether these transitional systems will eventually be canonical radio MSP s or whether they form a new sub-class of MSP s that continue to transition between the two states. Also, such studies will result in better understanding of the spin evolution of the systems and the dynamics of accretion during the accretion-powered, propeller stage and the rotation-powered stage. The figure shows the pulsar search output for PSR J1227-4853 showing rapid evolution of period and period-derivative in a compact binary system.


Result Image


Coherently dedispersed gated imaging of millisecond pulsars

The discovery of millisecond pulsars (MSP s) and their precise localisation using existing methods is hindered by their intrinsic fainter nature. This leads to significant delays between the discovery of MSP s and their further identification using conventional imaging methods. Motivated by the need for rapid localization of newly-discovered faint MSP s, we have developed a coherently dedispersed gating correlator for the GMRT. This gating correlator accounts for the orbital motions of MSP s in binary systems, while folding the visibilities with a best-fit topocentric rotational model derived from a periodicity search using simultaneously generated beamformer output. With this technique, the signal-to-noise ratio of the detection of an MSP in the image domain can be dramatically improved (by a factor of as much as 5). We have also incorporated a superior approach of dispersion correction, called coherent dedispersion, in our imaging technique to reconstruct the intrinsic pulse shape of such MSP s. We could unambiguously localize newly discovered Fermi MSP s in the on–off gated image plane with an accuracy of ±1”. Immediate knowledge of such a precise position enables the use of sensitive coherent beams of array telescopes for follow-up timing observations, which substantially reduces the use of telescope time (by a factor of 20 for the GMRT!). In addition, a precise a priori astrometric position reduces the effect of large covariance in timing fit, which in turn accelerates the convergence to an initial timing model. Moreover, such accurate positions allow for rapid identification of pulsar counterparts in optical and X-ray wavelengths. Figure caption: On–off gated images for newly discovered Fermi MSP s. All the MSP s are marked in the respective 10’ × 10’ facet images.


Result Image